2022河南高招一分一段表+近3年数据,报志愿有用!
6月25日,河南省教育考试院公布了我省2022年高招“分数段统计表”(一分一段表),对每一个分数上有多少考生、各批次分数线以上有多少考生进行了详细统计。
今年我省共有143186人过一本线,其中文科23432人,理科119754人。
2022年河南省普通高招分数段统计表↓↓↓















什么是“一分一段表”?
这张表是填报高考志愿的“神器”,用好这个表格,某种程度上可以决定你能去哪所大学、学习什么样的专业。因为它显示了每一个分数全省考生有多少名,能让你计算出自己的排位。
目前的一分一段表,是将全省同科类考生的档案分(考生总分+政策加分)从高到低排列(分数相同的则为并列)再按每1分一段,统计“本段人数”从本段向上一直到最高分段的所有“本段人数”相加,则为“累计人数”一分一段表上显示出每一个分数全省的考生有多少名,这个数据的参考价值最大。
“一分一段”有什么用?
“一分一段”表内对每一个分数线上有多少考生、该分数线以上有多少考生进行了详细统计。普通文理科从100分起一分一段一公布,一直公布到最高分,其中的分数已经包含政策性照顾分。此外,专升本、对口生按专业、类别公布到最低控制分数线,以下的不再一分一段公布,艺术、体育类文化成绩排序包含在普通文理科中,不单独公布。
在填报志愿时,首先参考自己在全省的排名,再看想选报学校的招生计划,最好是计算一下同等梯度的高校在河南招生计划的总和,结合自己的排名,从而较好地选报志愿。
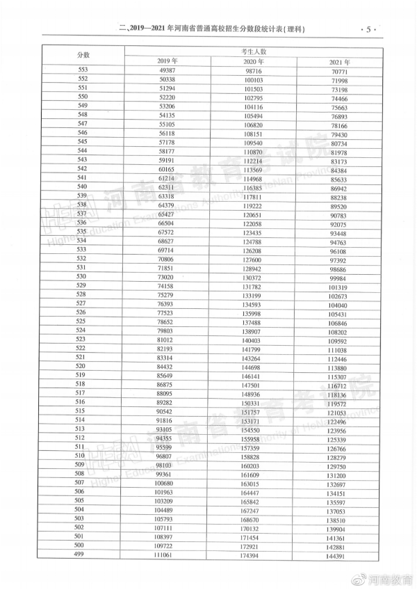
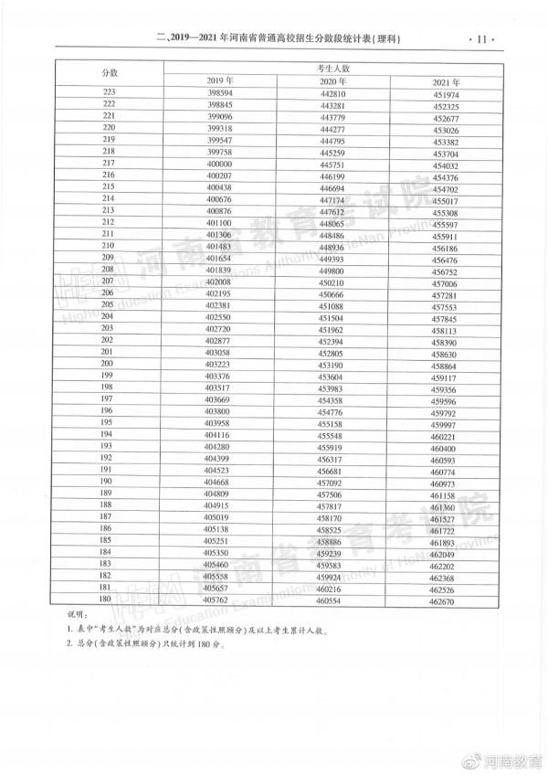
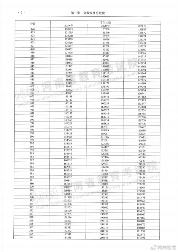
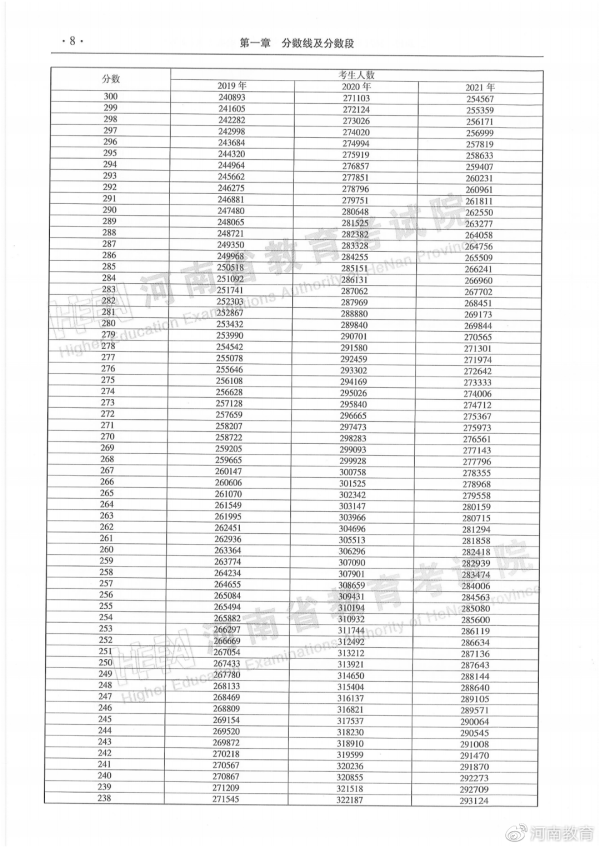
河南近三年普通高招一分一段统计表(含理、文科)
(2019~2021)
近三年的一分一段表是考生志愿填报时非常重要的参考资料,各院校的录取分数每年都会有波动,但是录取分数的位次却相对会在一个比较稳定的范围内。考生可以查询各院校往年的录取分数及该分数往年排名位次情况,根据自己的位次来选择合理的院校。

















