@2024届艺考生:河南近3年艺术类录取控制线+近6年五分一段对比表




01、近三年艺术类专业省统考分数线
河南省2023年普通高校招生录取控制分数线

河南省2022年普通高校招生录取控制分数线

河南省2021年普通高校招生录取控制分数线

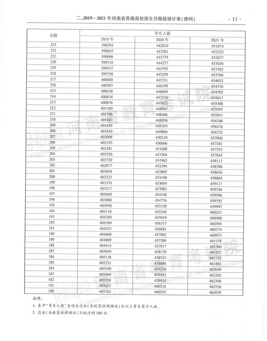
02、近6年艺术类专业省统考分数五分一段表
















特别声明
本文为正观号作者或机构在正观新闻上传并发布,仅代表该作者或机构观点,不代表正观新闻的观点和立场,正观新闻仅提供信息发布平台。
最新评论
打开APP查看更多精彩评论
