河南近三年普通高招录取分数线及分数段统计表来了
2024-06-23 09:47

分数段是高考志愿填报
非常重要的参考依据
今天
为大家整理了
河南近三年普通高招
录取分数线及分数段统计表
(含理、文科)
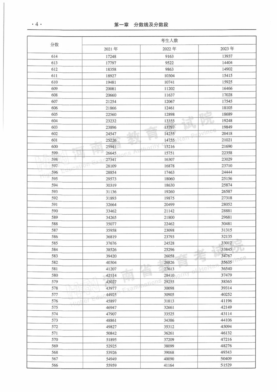
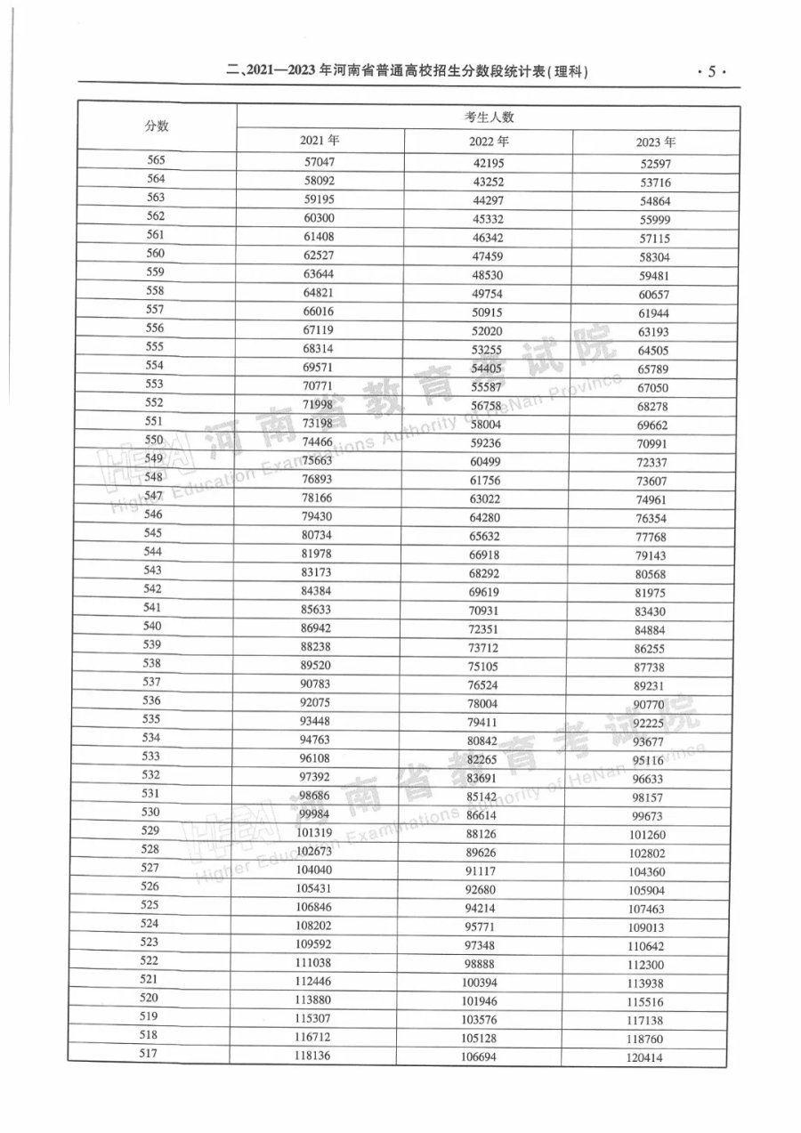
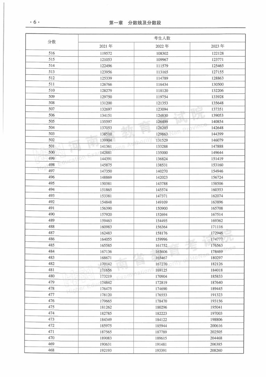
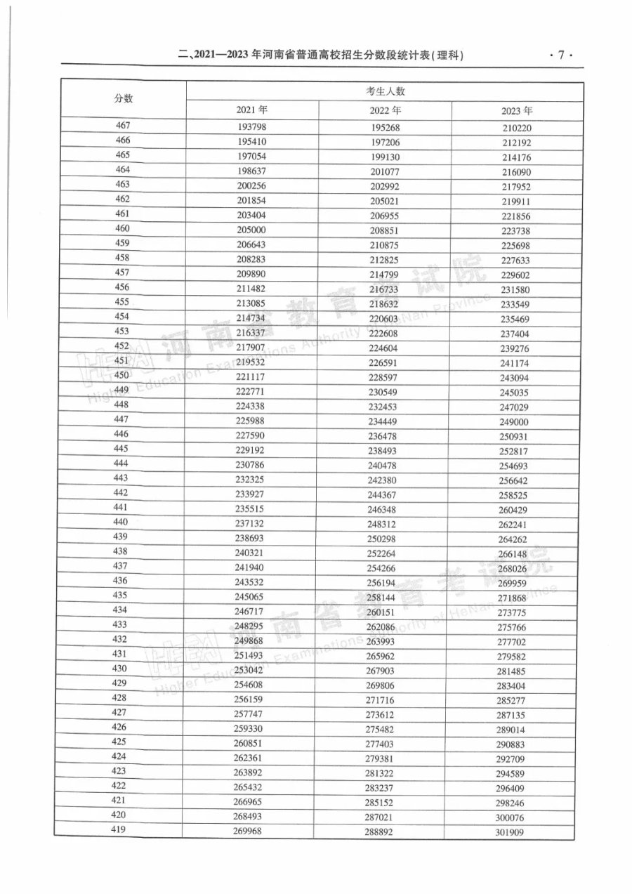
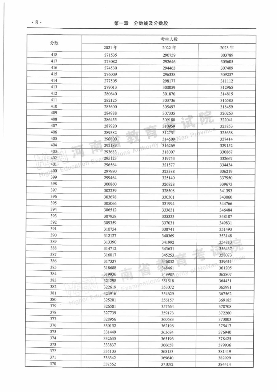
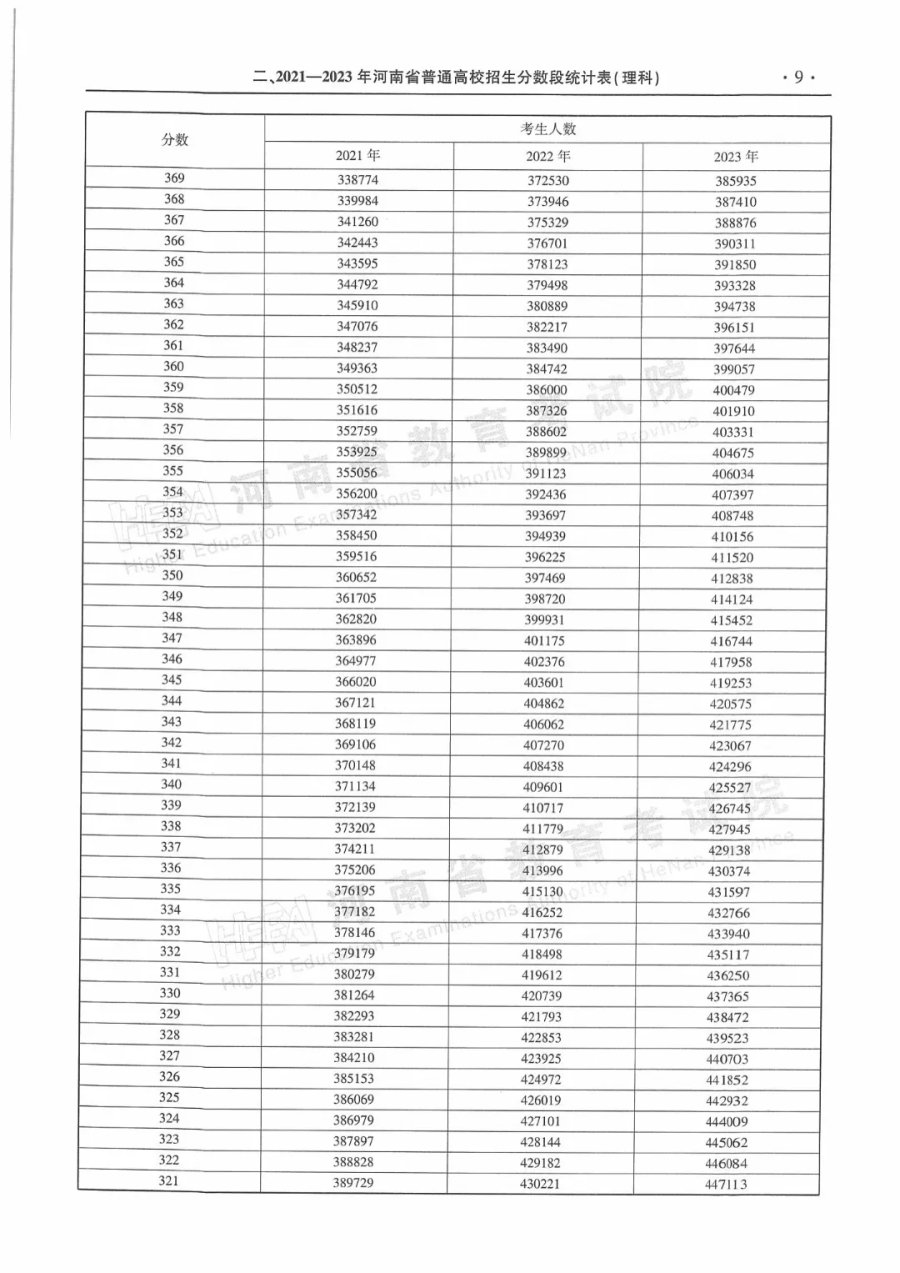
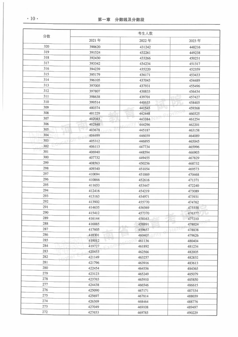
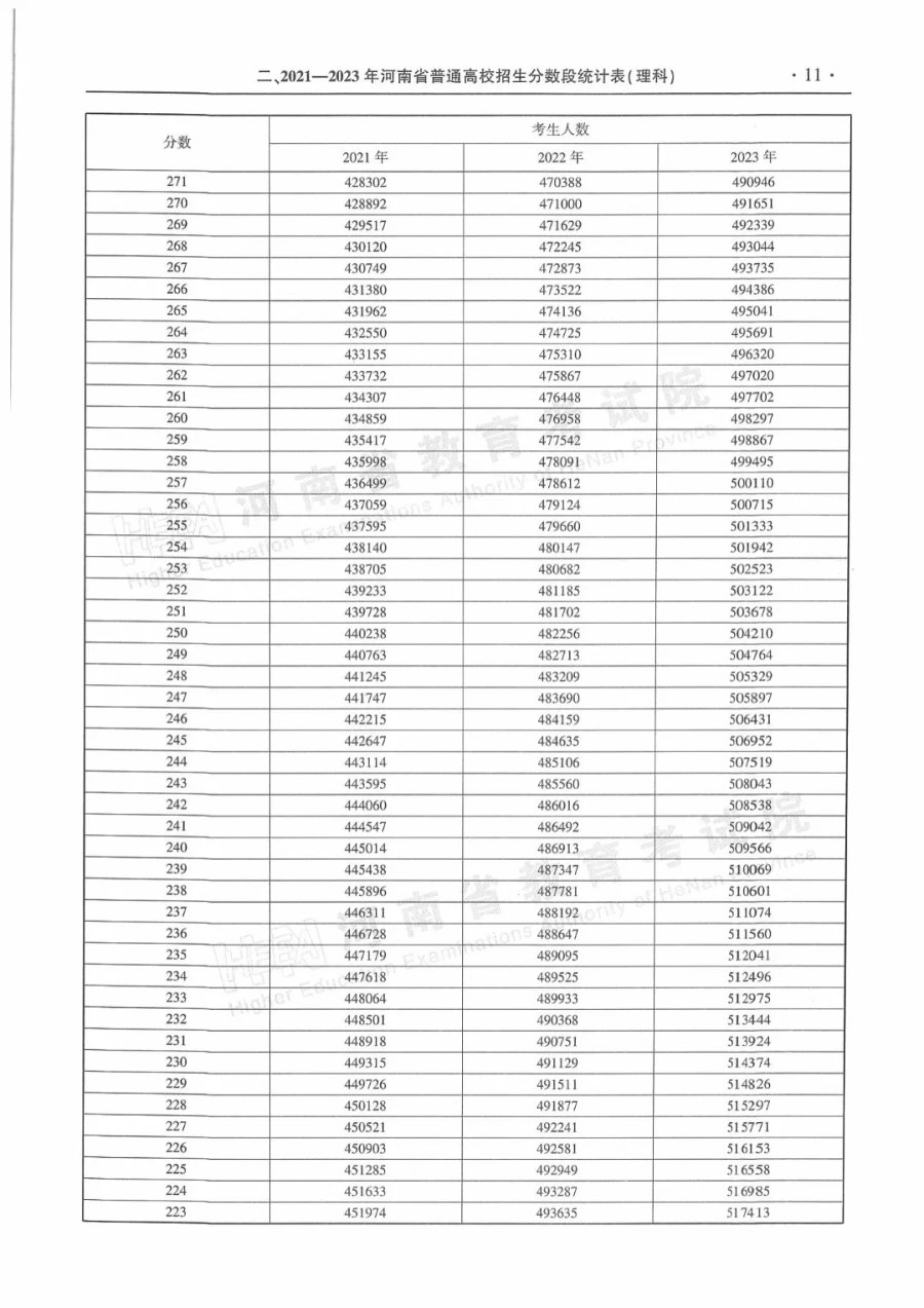
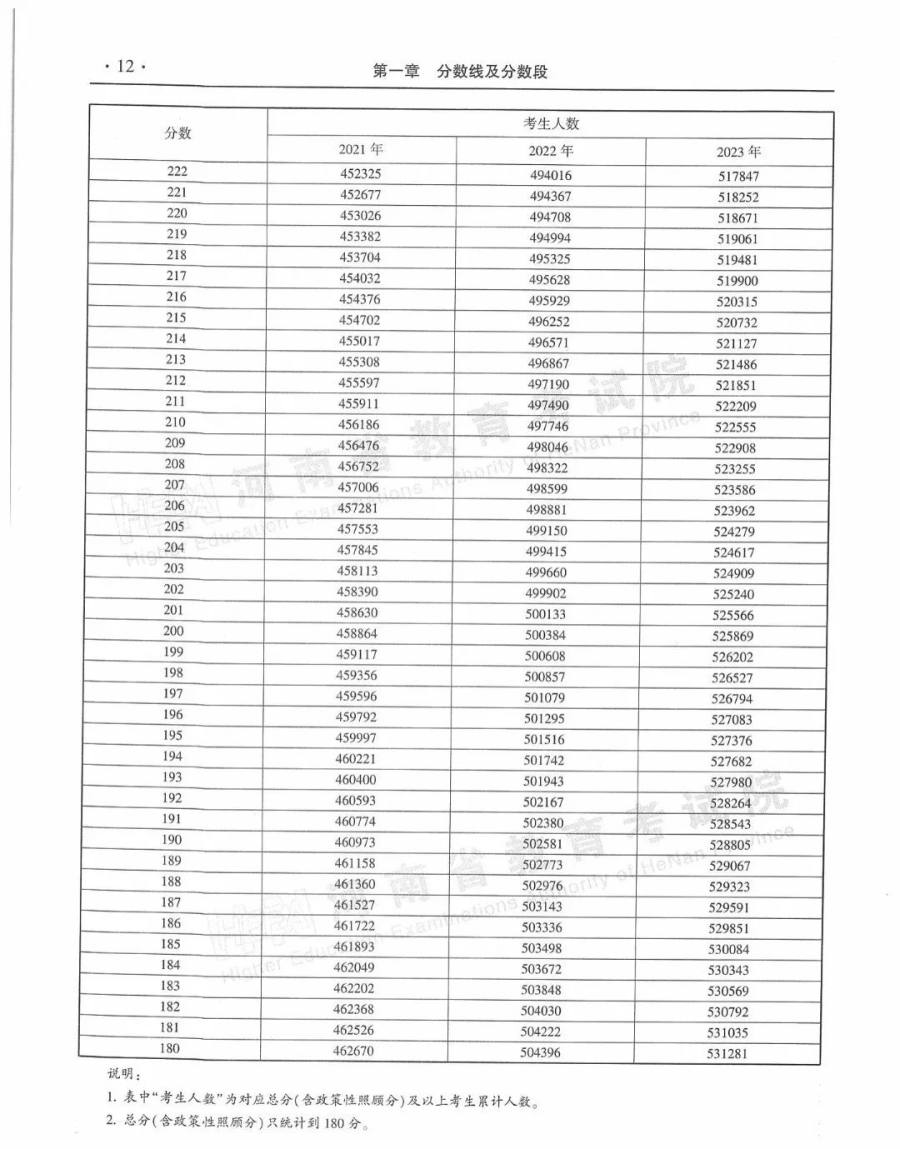
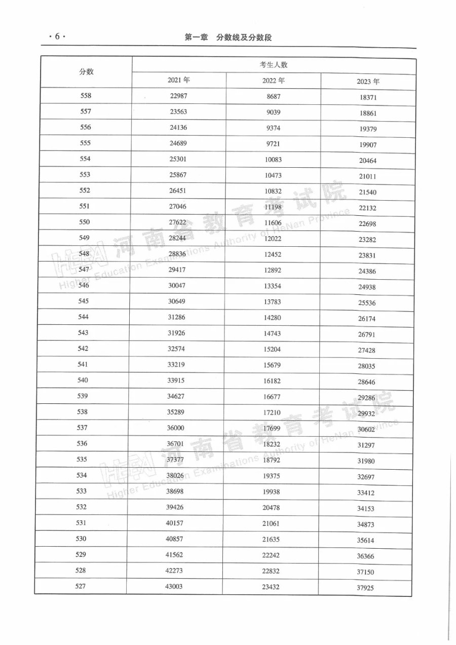
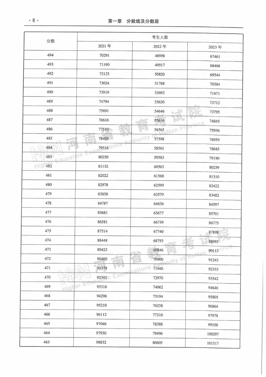
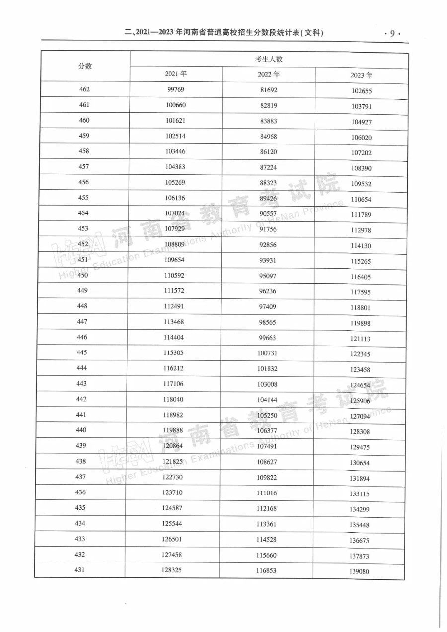
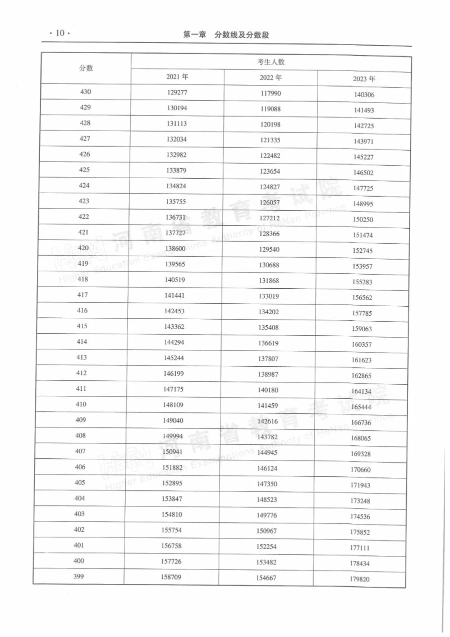
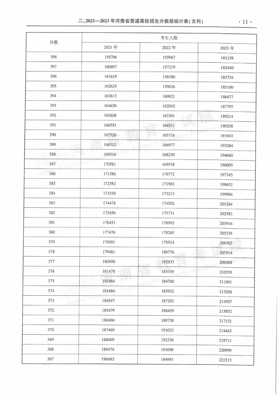
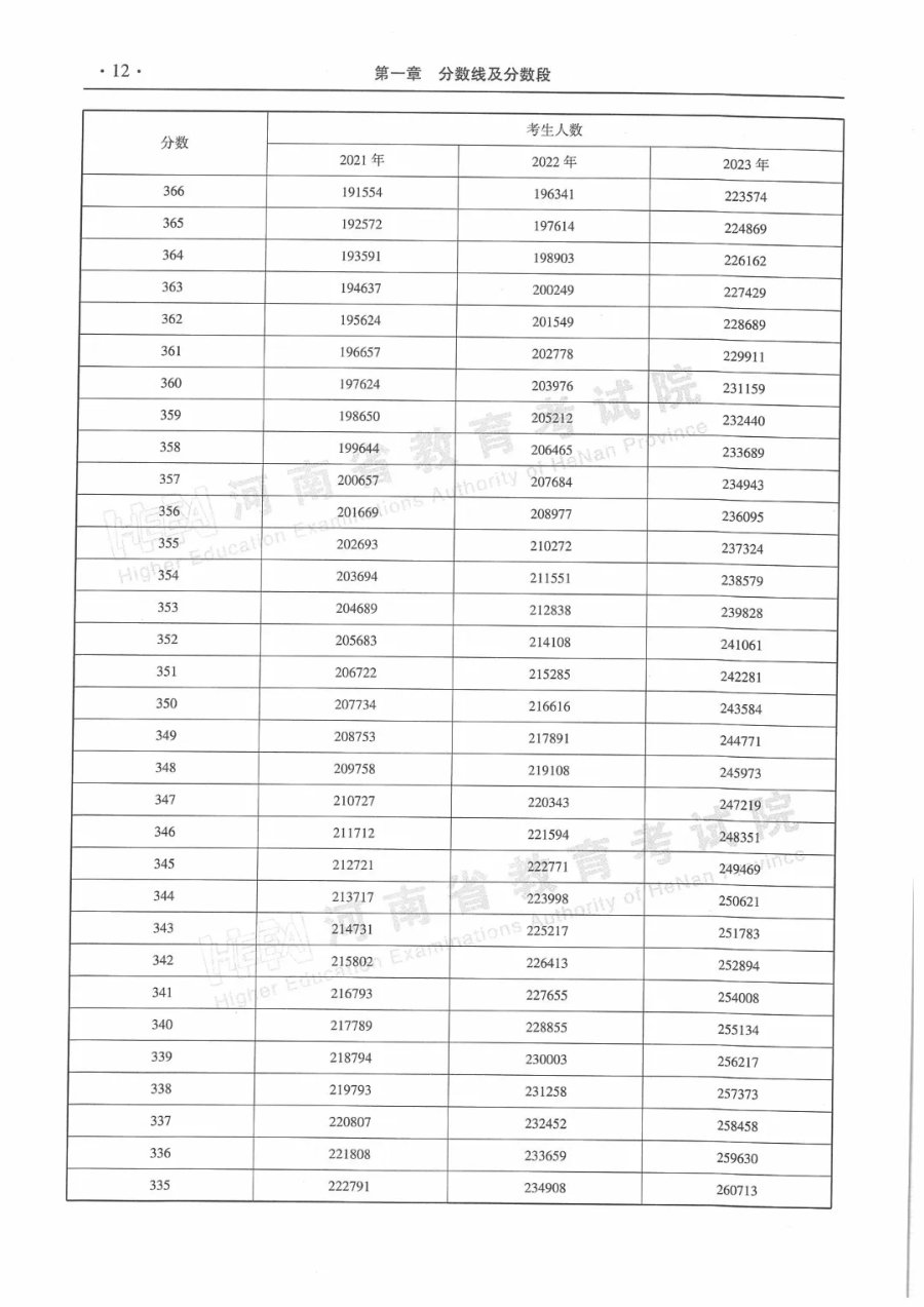
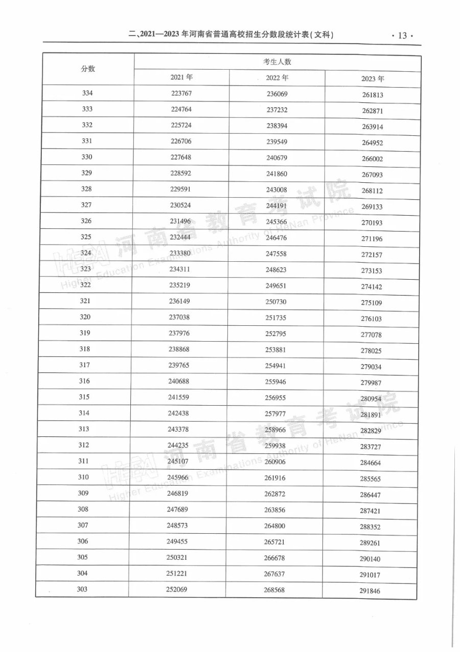
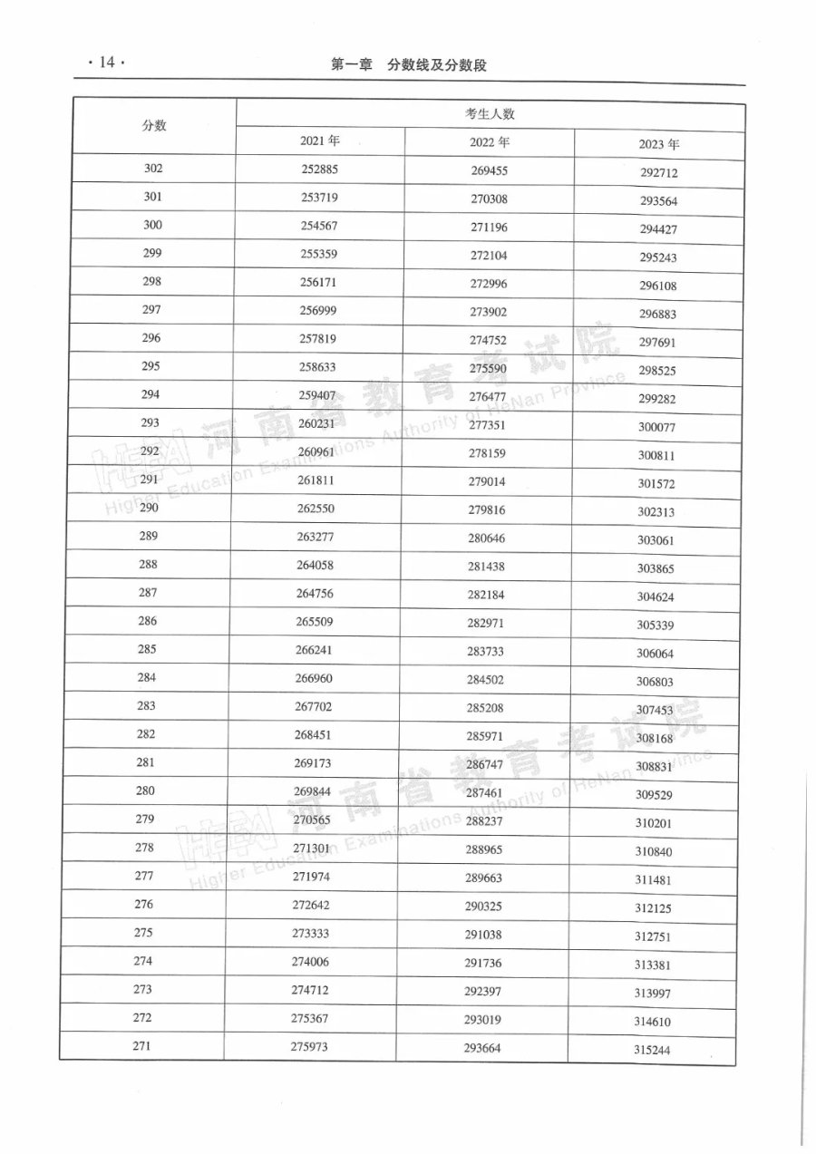
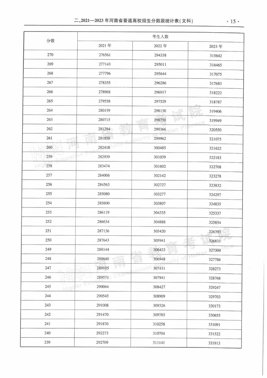
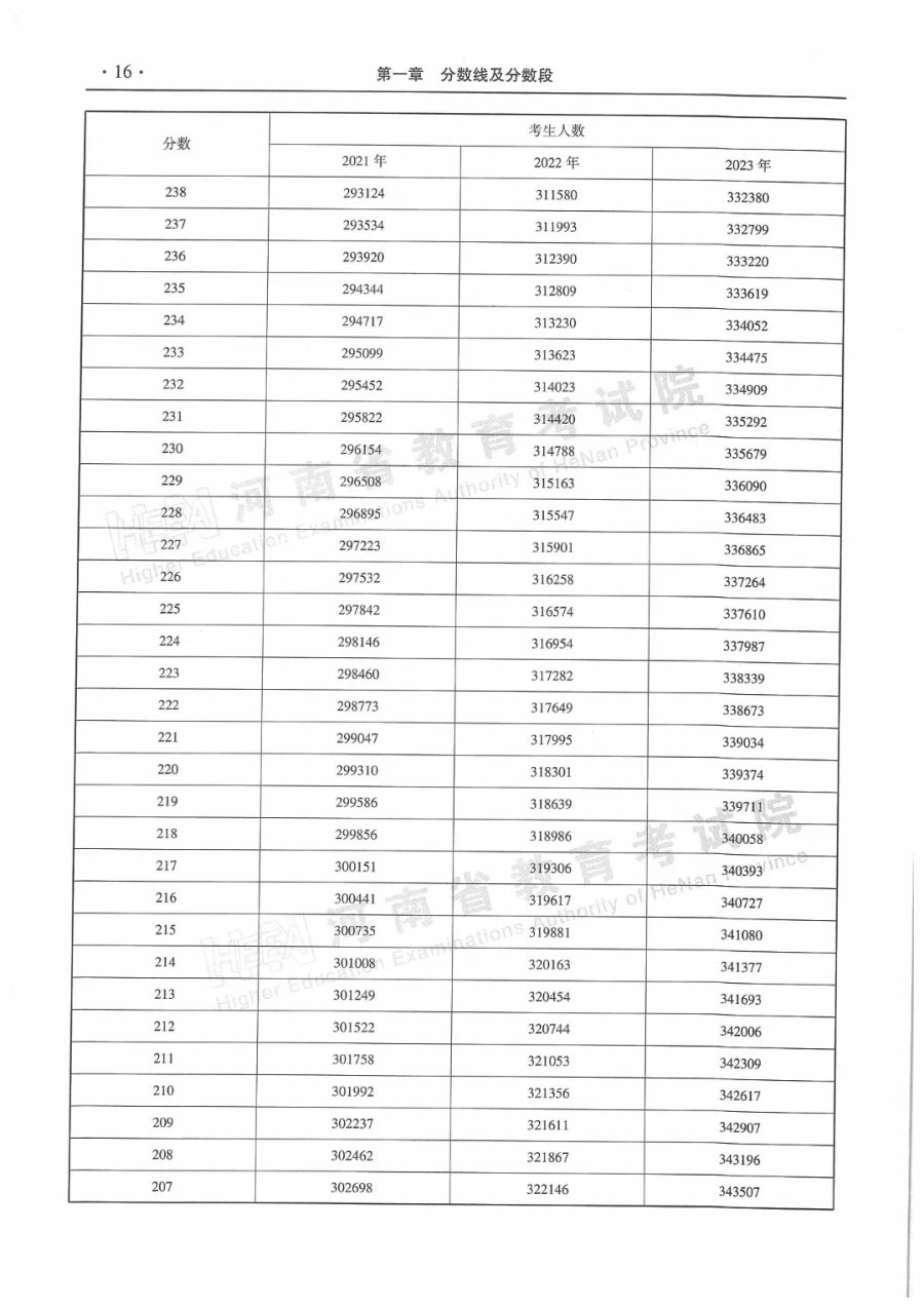
分数段
即该年所有参加高考的学生成绩分数段及排名位次的汇总,表中会列出该年高考每个分数同分段的人数。考生在查询自己高考成绩时,除了分数,也会查询到自己的成绩在全省考生中的排名情况,对于考生填报志愿有极大的参考价值。
近三年的录取分数线及分数段是考生志愿填报时非常重要的参考资料,各院校的录取分数每年都会有波动,但是录取分数的位次却相对会在一个比较稳定的范围内。考生可以查询各院校往年的录取分数及该分数往年排名位次情况,根据自己的位次来选择合理的院校。
2021—2023
河南高招录取分数线及分数段

理科











文科
















(来源:河南省教育厅)
编辑:宋雨馨
最新评论
打开APP查看更多精彩评论